고등 수학(상) > 인수분해 > 복이차식의 인수분해 연습문제 프린트 학습지
복이차식의 인수분해
복이차식이란 $X^2$와 같이 다항식 $X$를 제곱한 식이 포함된 식을 말합니다.
복이차식을 인수분해하는 문제를 풀고 연습문제를 무제한으로 생성하는 '모두매쓰'를 소개하도록 하겠습니다.
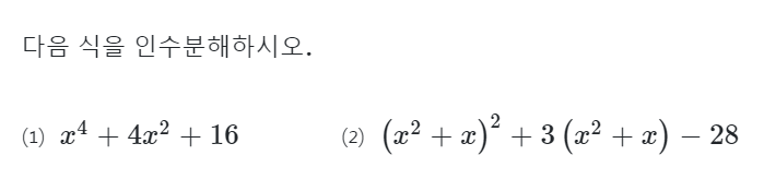
문제)

(1)번 문제를 풀면,
$x^4+4x^2+16$의 식을 다음과 같이 변형하면,
$=x^4+4x^2+16+4x^2-4x^2$
$=x^4+8x^2+16-4x^2$
$=(x^4+8x^2+16)-(2x)^2$
$=(x^2+4)^2-(2x)^2$
$=(x^2+2x+4)(x^2-2x+4)$
(2)번 풀이
$x^2+x=X$로 치환하면,
$X^2+3X-28$
$=(X-4)(X+7)$
다시 $X=x^2+x$로 바꾸면,
$=(x^2+x-4)(x^2+x+7)$
이렇게 복이차식의 인수분해 문제를 풀어봤습니다.
아래는 모두매쓰에서 생성한 연습문제입니다.
수학 학습에 도움이 되길 바랍니다.
[모두매쓰 생성 연습문제]
고등 수학(상) > 인수분해 > 복이차식의 인수분해 연습문제 프린트 학습지
'고등수학' 카테고리의 다른 글
| 고등 수학(상) > 항등식과 나머지정리 > 다항식 P(x)를 일차식으로 나눈 나머지 구하기 연습문제 프린트 학습지 (0) | 2024.07.29 |
|---|---|
| 고등 수학(상) > 인수분해 > 고차식의 인수분해 연습문제 프린트 학습지 (0) | 2024.07.29 |
| 고등 수학II > 도함수의 활용 > 방정식이 세 실근을 가지 위한 k의 값의 범위 구하기 연습문제 프린트 학습지 (0) | 2024.07.29 |
| 고등 수학II > 도함수의 활용 > 닫힌 구간에서 부등식이 항상 성립하도록 하는 실수 a의 값이 범위 구하기 연습문제 프린트 학습지 (0) | 2024.07.29 |
| 고등 수학I > 수열의 합 > 자연수의 거듭제곱의 합 공식, 연습문제 프린트 학습지 (0) | 2024.07.20 |

