중등수학

중등 2학년 수학 > 다항식의 계산 > 다항식의 곱셈과 나눗셈 연습문제 프린트 학습지

수학의 시작 2024. 7. 16. 17:29

중등 2학년 수학 > 다항식의 계산 > 다항식의 곱셈과 나눗셈 연습문제 프린트 학습지

 

다항식의 개념

다항식이란 항이 1개 또는 2개 이상인 식을 말합니다. 

항이 1개이면 단항식이라 하는데, 항이 1개인 경우 다항식으로 부를 수도 있습니다. 가끔 개념을 묻는 문제가 시험에 출제되기도 하니 체크하시기 바랍니다. 

 

다항식의 곱셈과 나눗셈에 대해서 공부를 해볼건데요, 

구조는 다항식 × 다항식, 다항식 ÷ 다항식 으로 되어 있어요. 

 

다항식의 곱셈에서 중요한 개념은 '분배법칙'입니다. 

 

분배법칙

 

곱셈에 대하여 항이 여러 개인 경우, 같은 연산을 분배할 수 있는 수학 법칙입니다. 

가령, 

$$A(B+C)=AB+AC$$

와 같이 $A$가 $B$와 곱해지고, $C$와도 곱해지는 것은 분배법칙으로 인해 가능한 것입니다. 

이때 분배법칙은 '곱셈에 대하여 성립한다'라고 엄밀하게 말할 수 있어요. 

덧셈에 대해서는 분배법칙이 성립하지 않습니다. 

즉, 

$A\times{(B+C)}$

는 $A$가 $(B+C)$에 곱셈으로 묶여있기 때문에 각각 곱해지는 분배법칙이 사용되지만,

$A+(B+C)$

는 $A$가 $(B+C)$에 덧셈으로 연결되어 있지만 덧셈은 $B$와 $C$에 분배되는 것이 아니죠. 

$A+B+A+C$ 라고 분배를 하면 틀리게 됩니다. 

참고로 알아두시기 바랍니다. 

 

그럼 이제 문제를 풀어보도록 할게요. 

 

문제1)

 

나눗셈이 있을 때에는 '역수'개념을 잘 활용하는게 중요해요. 

$(12x^2y^3+16y^3)\div{4y^3}$

 

$=(12x^2y^3+16y^3)\times{\dfrac{1}{4y^3}}$

 

$=12x^2y^3\times{\dfrac{1}{4y^3}}+16y^3\times{\dfrac{1}{4y^3}}$

 

$=3x^2+4$

 

 

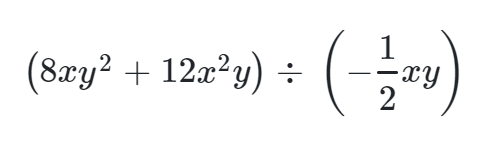
문제2)

$(8xy^2+12x^2y)\div{-\dfrac{1}{2}xy}$

 

$=(8xy^2+12x^2y)\times{(-\dfrac{2}{xy})}$

 

$=8xy^2\times{(-\dfrac{2}{xy})}+12x^2y\times{(-\dfrac{2}{xy})}$

 

$=-16y-24x$

 

$=-24x-16y$

 

 

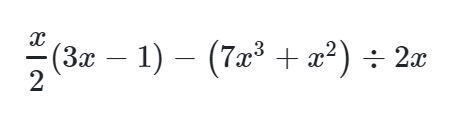
문제3)



$\dfrac{x}{2}(3x-1)-(7x^3+x^2)\div{2x}$

 

$=\dfrac{x}{2}(3x-1)-(7x^3+x^2)\times{\dfrac{1}{2x}}$

 

$=\dfrac{3}{2}x^2 -\dfrac{1}{2}x-(\dfrac{7}{2}x^2 +\dfrac{1}{2}x)$

 

$=\dfrac{3}{2}x^2 -\dfrac{1}{2}x-\dfrac{7}{2}x^2 -\dfrac{1}{2}x$

 

$=-2x^2-x$

 

 

이렇게 해서 다항식의 곱셈과 나눗셈에 대해서 공부하고 연습문제를 풀어봤습니다. 

추가적으로 다항식의 곱셈과 나눗셈 연산 연습을 하고 싶으시면 '모두매쓰' 사이트를 추천드립니다. 

모두매쓰는 수학 문제를 생성하고 프린트하는 인공지능 서비스입니다. 

 

아래 이미지는 모두매쓰 링크 이미지입니다. 

중등 2학년 수학 > 다항식의 계산 > 다항식의 곱셈과 나눗셈 연습문제 프린트 학습지